Information

Scottish Parliament election: 7 May. This site won't be routinely updated during the pre-election period.

National Adult Salmon Sampling Project

Report of a project developed by Marine Directorate, Fisheries Management Scotland and local District Salmon Fishery Boards and Trusts to investigate options for sampling adult salmon caught in rod fisheries and scientific netting during 2021-2023.


3. Results

A total of 1119 adult salmon were sampled during 2021-2023 across 31 different rivers between May and October, with most samples in July and August (Table 2). The numbers sampled were a function of effort and were highest in 2022. There was also a wide geographic range in the numbers of salmon sampled with the largest numbers tending to be sampled on large east coast rivers (Figure 2).

Table 2: Summary of the number of adult salmon sampled by month and year

Month

2021

2022

2023

Total

May

3

32

6

41

June

0

60

6

66

July

45

212

107

364

August

184

157

84

425

September

92

123

7

222

October

0

0

1

1

Total

324

584

211

1119

Figure 2: Map showing the locations of adult salmon sampled during 2021-23. The size of the point is proportional to the number of fish sampled in each location.
Maps showing the locations of adult salmon sampled in 2021, 2022 and 2023. Sampling is spread throughout the country, with less sample sites in 2023 compared to the previous years.

It was possible to identify the sea ages of 1037 of the 1119 (93%) salmon sampled, with fish becoming more difficult to age later in the season as the scales started to show greater levels of erosion. An overview of the sea ages of salmon sampled during 2021-23 is shown in Figure 3. The overall pattern of sea ages was similar in the three years with a greater number of one sea winter salmon (1SW) in the sample than MSW fish. The exception to this was the West Coast and North East fishery regions where MSW were more prevalent during 2022. Of the 311 multi-sea winter salmon (MSW) sampled during the project 306 (98%) had spent 2 winters at sea (2SW) while only 5 (2%) were 3SW salmon (all within the Moray Firth region).

Figure 3: Percentage of salmon sampled belonging to different sea age classes broken down by fishery region in 2021-23. 1SW salmon are shown in darker blue, MSW (2SW and 3SW) in the lighter shades with the total number of salmon sampled given above the bars.
Graphs showing the percentage of salmon belonging to the different sea ages broken down by region and year. 1SW salmon were the most common age class and in general 2SW salmon were more common on the East Coast than the west. Only 1 3SW salmon was found during the sampling.

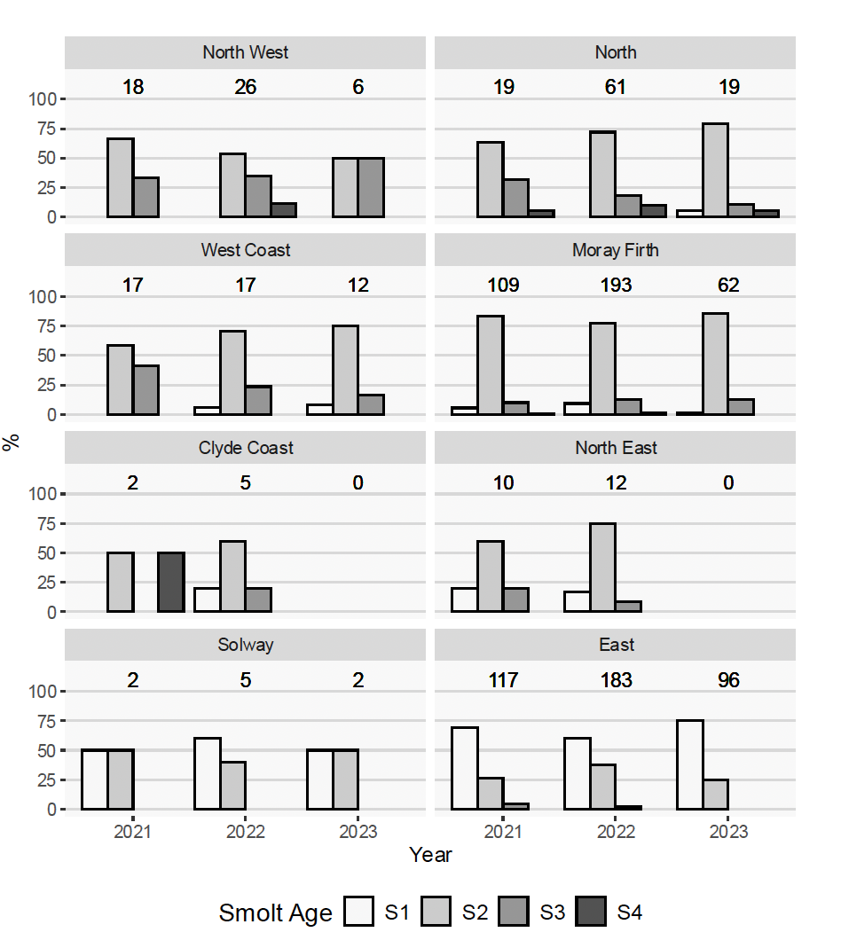
It was possible to identify the smolt ages of 993 (89%) of the salmon sampled over the three years. Smolt age was similar among the sampled years (Figure 4). Generally, S2s (two year old smolts) were the dominant age class, except in the East and Solway regions where S1s (one year old smolts) were the most common age class.

3.1 Sea Age

To examine how the sea age of salmon changed through the season the samples were first grouped into the East, North and West areas. The incidence of 1SW salmon increased over the season in all three areas, with few 1SW salmon sampled during May/June to them becoming the most prevalent age class during August/September (Figure 5). Beyond this, there were no consistent patterns in the data. For example, while the percentage of 1SW salmon was higher in the 2022 samples from the North compared to 2021 the opposite was true for the West.

Figure 4: Percentage of salmon sampled belonging to different smolt age classes broken down by fishery region in 2021-23 (regions indicated on map). S1 salmon are shown in white and S4 salmon as dark grey with S2 and S3s as intermediate shades. The numbers of salmon sampled are given above the bars.
Graphs showing the percentage of salmon belonging to the different smolt ages broken down by region and year. Patterns were consistent across years, with 1 year old smolts being most common in the Solway and East regions and 2 year old smolts being most common elsewhere.
Figure 5: Monthly changes in the percentage of 1SW salmon in samples taken from the East, North and West of Scotland in 2021(purple solid line), 2022 (orange dashed line) and 2023 (green dotted line). The size of the points is proportional to the number of salmon sampled.
Graphs illustrating the increase in the percentage of 1SW fish in the samples from May to reach a plateau in July/August.

3.2 Smolt Age

Examination of the mean smolt age shows little difference between years or sea ages (Figure 6). However, age did vary among areas and there was a suggestion that smolt age declined through the season.

Figure 6: Monthly changes in the mean smolt age of 1SW and MSW salmon sampled from the East, North and West of Scotland in 2021-23. The size of the points is proportional to the number of salmon sampled.
Mean smolt age showed little difference between years or sea ages. It was lower in the East Area compared to the North and West (less than 1.5 compared to above 2 years).

Mean smolt age varied with latitude on both East and West coasts of Scotland, with some evidence for a higher mean smolt age on the West compared to the same latitude on the East Coast (Figure 7).

Figure 7: The relationship between mean smolt age and latitude shown for samples collected on the East and West Coasts.
Graph showing the increase in mean smolt age in samples with latitude present in both East and West coasts of Scotland. West Coast samples have a higher mean smolt age compared to East coast samples at the same latitude.

3.3 Size

Although sample sizes were limited there were suggestions of consistent patterns in size among areas, with 1SW salmon tending to be larger in 2021 than in 2022 and 2023 while 2SW salmon were a similar size (Figures 8 and 9). However, there are also clear differences in the patterns. For example, while the size of 2SW salmon increases during the season in the East it declined in the North and West.

Figure 8: Monthly changes in the mean weight of 1SW and 2SW salmon sampled from the East, North and West of Scotland in 2021 (purple solid line), 2022 (orange dashed line) and 2023 (green dotted line). The size of point is proportional to the number of fish in each sample.
Graph showing weights of 1SW and 2SW salmon by month and area, mean weight for 1SW was generally between 1.75-3kg; for 2SW this was 4-6kg.
Figure 9: Monthly changes in the mean length of 1SW and 2SW salmon salmon sampled from the East, North and West of Scotland in 2021 (purple solid line), 2022 (orange dashed line) and 2023 (green dotted line). The size of point is proportional to the number of fish in each sample.
Graph showing lengths of 1SW and 2SW salmon by month and area, mean length for 1SW was generally between 55-60cm; for 2SW this was 70-80cm.

3.4 Sex

Results from the genetic determination of sex were available for 924 of the salmon where it was possible to determine a sea age from the scales. The reported (visual) percentage of females for both 1SW and MSW salmon was found to be lower than that determined using the genetics method in 2021 and 2023 but similar in 2022 (Figure 10).

Figure 10: The percentage of female salmon by sea age sample in 2021-23 as reported using visual assessment and genetic assignment.
A greater percentage of <abbr title=MSW salmon were found to be female than 1SW salmon in the study. The percentage female salmon identified using genetic assignments was greater than that from visual assessment, particularly in 2021 and 2023.">

Overall the visual and genetic methods agreed in 69.1% cases for genetically assigned females (n = 408) compared to 83.5% of genetic males (n = 516). Closer examination of where the visual sex agreed with the genetic sex highlights that the level of disagreement differs between years, sea ages and genetic sex (Figure 11).

Figure 11: The percentage of genetically female and male salmon where the visual sex agrees with the genetic sex in 2021-23. Information is presented for 1SW and 2SW salmon with the size of the point proportional to the number of samples (range of 17-222).
Graph illustrating that where fish were genetically male there was a higher chance of visual and genetic assessment agreeing compared to females. For genetically female fish agreement was slightly more likely for 2SW salmon compared to 1SW.

A greater percentage of 2SW salmon were found to be female compared to 1SW fish. In addition, there was a difference in the sex ratio between the East and West Coasts with a greater percentage of salmon on the West Coast being female for both 1SW and 2SW age classes (Figure 12).

Figure 12: The percentage of genetically female 1SW and 2SW salmon by coast 2021-23.
33% of 1SW salmon on the East Coast were female compared to 48% on the West Coast. For 2SW salmon these figures are 67% on the East Coast and 76% on the West Coast.

3.5 Long Term Patterns

There are long term data available from sampling of commercial net catches on the River Tweed. These allow the 2021-23 samples to be placed into a wider context. To account for seasonal change in age and size, the percentage of 1SW fish and the weights of 1SW and 2SW fish sampled by net during the month of August were compared (Figure 12). There are clear long-term fluctuations in the ages and lengths of salmon sampled on the River Tweed. Compared to the early 2010s there were more 1SW fish in the 2021-23 samples (Figure 13A), while the weights of both age classes have recently increased from the low values seen from the mid 2000s (Figure 13B).

Figure 13: Long term changes in salmon sampled during August in the River Tweed (1968-2023). A: Changes in the percentage of 1SW salmon in the samples. B: Changes in the mean weight of 1SW and 2SW salmon.
The percentage of 1SW salmon has generally around 80%, with some periods below this and recent years being 74-78%. Weight of 2SW salmon declined after 2000 and has recovered in 2021-2023 but not yet back to pre-2000 levels. For 1SW salmon there has been a long term decline in weight, although this has remained constant since roughly 2005.

Contact

Email: stuart.middlemas@gov.scot

Back to top