Information

Scottish Parliament election: 7 May. This site won't be routinely updated during the pre-election period.

Scottish scientific electrofishery for razor clams trial - biological and ecological goals: progress report

Report summarising data and main findings from the trial to date.


Appendix 3

Length Cohort Analysis

The decision-making process to select the razor clam trial areas with sufficient data to run the LCA was based on four main criteria: number of razor clams sampled; number of years for which data are available (maximum three years, 2020-2022; 2018, 2019 and 2023 data were incomplete at point of analysis); sampling seasonality (samples collected throughout the year by quarter); and the shape of the length frequency distribution (LFD) (Table 3). For each trial area, these criteria were classified into three categories (“poor”, “ok” and “good”). LCA would not be carried out for areas where one or more of the criteria were classified as “poor.” Table 3 shows the classifications for Firth of Forth and Firth of Clyde. Sampling seasonality by quarter was the only criterion for which scoring in both areas was not classified as “good”. This is due to length frequency samples not being taken in 2020-Q1 (Firth of Forth) and 2020-Q2 (both areas).

Table A1: Decision table for razor clam assessments in each area including the criteria used to determine if trial areas had razor clam data of sufficient quantity and quality suitable for Length Cohort Analysis (LCA). A maximum of three years of data were available (2020-2022) as 2018, 2019 and 2023 data were incomplete at the point of analysis.
Criteria Area
Firth of Clyde Firth of Forth
Assessed before? no no
N individuals/landings sampled good good
N years available for average LF good good
Sampling seasonality (quarters) ok ok
LFD shape good good
Assessment 2020-2022 yes yes
Criteria Category Description
Number of razor clams sampled poor No sampling or very few razor clams sampled (average < 100 per year)
ok Few razor clams sampled (average < 500 per year)
good Several razor clams sampled (average > 500 per year)
Number of years data available for average length frequency poor < 1 years
ok 1/2 years
good 3 years
Sampling seasonality (quarters) poor Less than two quarters sampled over the 3 year period
ok Two or three quarters sampled over the 3 year period
good All quarters sampled per year over the 3 year period
Length frequency (LF) shape poor No data or very few animals sampled
ok LF with spikes
good Approximately normal with no spikes

Stock assessment fishing mortality and yield-per-recruit analysis

Figure A3.1: Razor clam fishing mortality (Fbar) estimates for the Firth of Clyde. The maximum fishing mortality (Fmax), which is used as a proxy for FMSY is shown as an horizontal black line if FMSY < 6*Fbar. LCAs were run under different scenarios/sets of biological parameters (see Table 10), using Linf = [196,207], K = [0.11,0.27] and natural mortality M = [0.1, 0.16].
Razor clam fishing mortality (Fbar) estimates for the Firth of Clyde. The maximum fishing mortality (Fmax), which is used as a proxy for FMSY is shown as an horizontal black line if FMSY < 6*Fbar. LCAs were run under different scenarios/sets of biological parameters (see Table 10), using Linf = [196,207], K = [0.11,0.27] and natural mortality M = [0.1, 0.16].
Figure A3.2: Razor clam biomass and yield-per-recruit (YPR) predictions for the Firth of Clyde given changes from the current effort, data from 2020-2022. The YPR analysis was run using different scenarios/sets of biological parameters (see Table 10), using Linf = [196,207], K = [0.11,0.27] and natural mortality M = [0.1, 0.16].
Razor clam biomass and yield-per-recruit (YPR) predictions for the Firth of Clyde given changes from the current effort, data from 2020-2022. The YPR analysis was run using different scenarios/sets of biological parameters (see Table 10), using Linf = [196,207], K = [0.11,0.27] and natural mortality M = [0.1, 0.16].
Figure A3.3: Razor clam fishing mortality (Fbar) estimates for the Firth of Forth. The maximum fishing mortality (Fmax), which is used as a proxy for Fmsy is shown as an horizontal black line if FMSY < 6*Fbar. LCAs were run under different scenarios/sets of biological parameters (see Table 10), using Linf = [196,207], K = [0.11,0.27] and natural mortality M = [0.1, 0.16].
Razor clam fishing mortality (Fbar) estimates for the Firth of Forth. The maximum fishing mortality (Fmax), which is used as a proxy for Fmsy is shown as an horizontal black line if FMSY < 6*Fbar. LCAs were run under different scenarios/sets of biological parameters (see Table 10), using Linf = [196,207], K = [0.11,0.27] and natural mortality M = [0.1, 0.16].
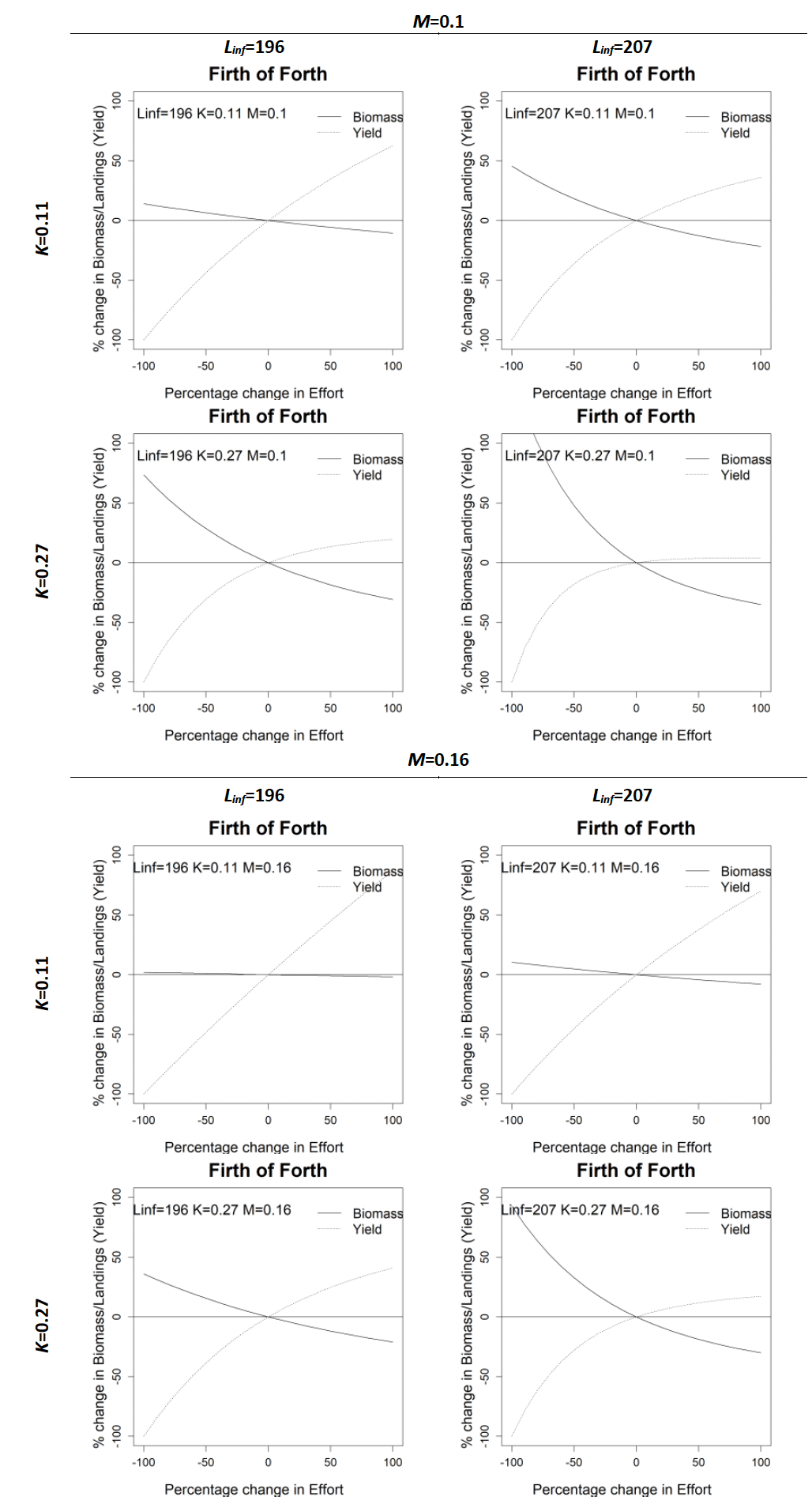
Figure A3.4: Razor clam biomass and yield-per-recruit (YPR) predictions for the Firth of Forth given changes from the current effort, data from 2020-2022. The YPR analysis was run using different scenarios/sets of biological parameters (see Table 10), using Linf = [196,207], K = [0.11,0.27] and natural mortality M = [0.1, 0.16].
Razor clam biomass and yield-per-recruit (YPR) predictions for the Firth of Forth given changes from the current effort, data from 2020-2022. The YPR analysis was run using different scenarios/sets of biological parameters (see Table 10), using Linf = [196,207], K = [0.11,0.27] and natural mortality M = [0.1, 0.16].

Contact

Email: mss.fisheries.advice@gov.scot

Back to top